Skip to main content

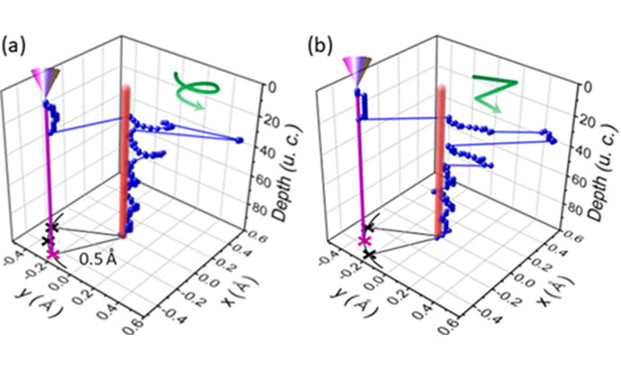
Using analytical aberration-corrected scanning transmission electron microscopy (STEM), we studied the behavior of the electron probe propagating in SrTiO3 at sub-atomic length scales. For the very first time, we discovered the unusual nature of sub-atomic beam channeling in crystalline material. In some cases electrons of the probe channel along the atomic column with pendulum-like motion, moving side-to-side inside the atoms. In the other cases, they spiral within the atoms forming a helicon-type beam. In the figure, the position of the peak intensity of the propagating beam (in unit cells, u.c.) located near the oxygen atomic column is shown for these two cases. This discovery suggests that there is a rich sub-atomic science to be explored using these beams. Atomic-scale magnetism is one field that can benefit dramatically from this discovery of spiraling electron beams in crystals.

from J. S. Jeong, H. Song, J. T. Held, K. A. Mkhoyan, Phys. Rev. Lett. 122 (2019).
from J. S. Jeong, H. Song, J. T. Held, K. A. Mkhoyan, Phys. Rev. Lett. 122 (2019).